集团简介
三和国际集团
是一家有信仰、有使命、有梦想的儒商企业



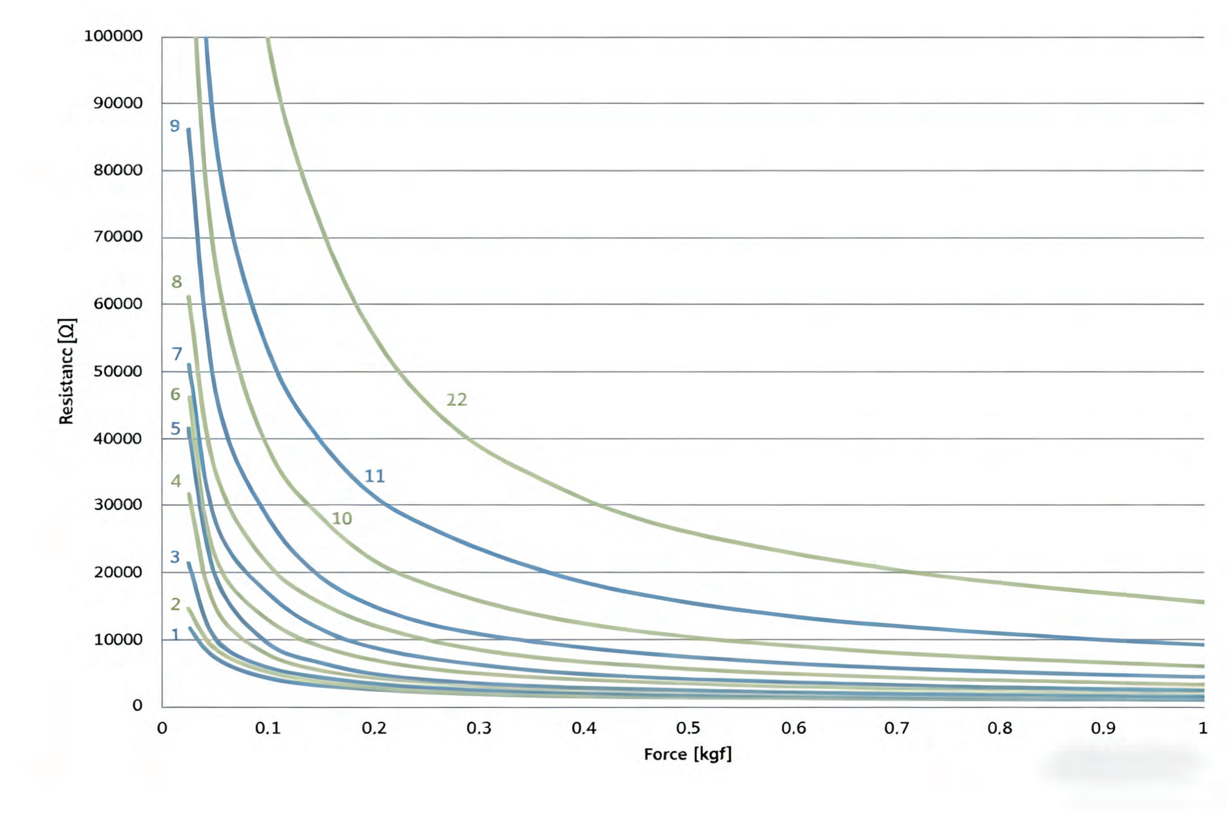
Blend of ECI 7004HR with NCI 7002
Blend of ECI 7004LR with NCI 7002
超低方阻的银浆实现电路印刷

| MiMixx | Parts NCI 7002 | Parts ECI 7004HR |
| # | (%) | (%) |
| 1 | 0 | 100 |
| 2 | 10 | 90 |
| 3 | 20 | 80 |
| 4 | 30 | 70 |
| 5 | 40 | 60 |
| 6 | 50 | 50 |
| 7 | 60 | 40 |
| 8 | 70 | 30 |
| 9 | 80 | 20 |
| 10 | 45 | 55 |
| 11 | 50 | 50 |
| 12 | 55 | 45 |

力学函数
